- Home » Product » Silicone Fluids » Amino Silicone Oils
Silico Amino Silicone Oils – Professional Manufacturer in China
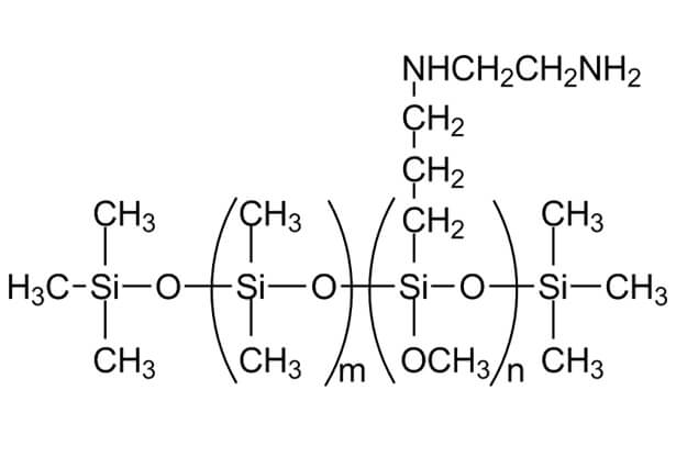
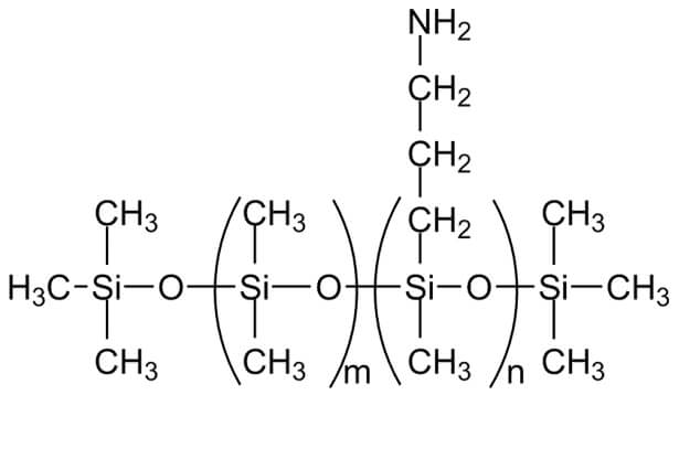
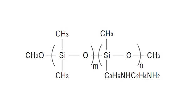
Silico® Amino Silicone Oil is a key softening agent used in textile finishing, offering superior softness, smoothness, and elasticity. Its reactive amino groups form strong bonds with fibers, creating a durable film that enhances fabric hand feel and performance.
Key Benefits:
Excellent adsorption and strong fiber affinity
Easy to emulsify and compatible with various textile systems
Improves softness, smoothness, and fabric elasticity
Enhances wash durability and abrasion resistance
Suitable for cotton, wool, polyester, nylon, and blends
Applications:
Textile finishing for garments, towels, and home fabrics
Hair care products for improved softness and manageability
Industrial use in coatings and flexible materials
Available in multiple grades, including hydrophilic, super soft, low-yellowing, and high-resilience types—tailored to meet diverse processing needs.
Silico® offers custom solutions and bulk supply of high-performance amino silicone oils.
Recommended Amino Silicone Oils
Packaging Specifications

Why Choose Silico Organsilicon?




Silico® Prouducts
Get a Catalog & Best Price
- Professional response within 24 hours
- Customized solutions for your application
- Reliable one-stop supply service
How to Choose Amino Silicone Oil for Textile Applications?
1. Amine Value (NH₃ Value):
0.3 mmol/g: Best for smooth finishes on polyester and linen.
0.6 mmol/g: Ideal for softness and elasticity on cotton, wool, and rayon.
2. Fabric Type & Effect:
Cotton: Use 0.6 NH₃ for softness.
Polyester: Choose 0.3 NH₃ for smoothness.
Silk & Wool: Balance both values for softness and gloss.
3. Emulsion Type:
Microemulsions: Better penetration and uniformity.
Macroemulsions: Fuller hand feel.
4. Additional Factors:
Check viscosity, reactivity, and compatibility for optimal results.
Select the right amino silicone oil for enhanced fabric quality and finishes.














